FOCUSスパコンでの PHITS ベンチマークを財団にて実施しました。(2022/09)
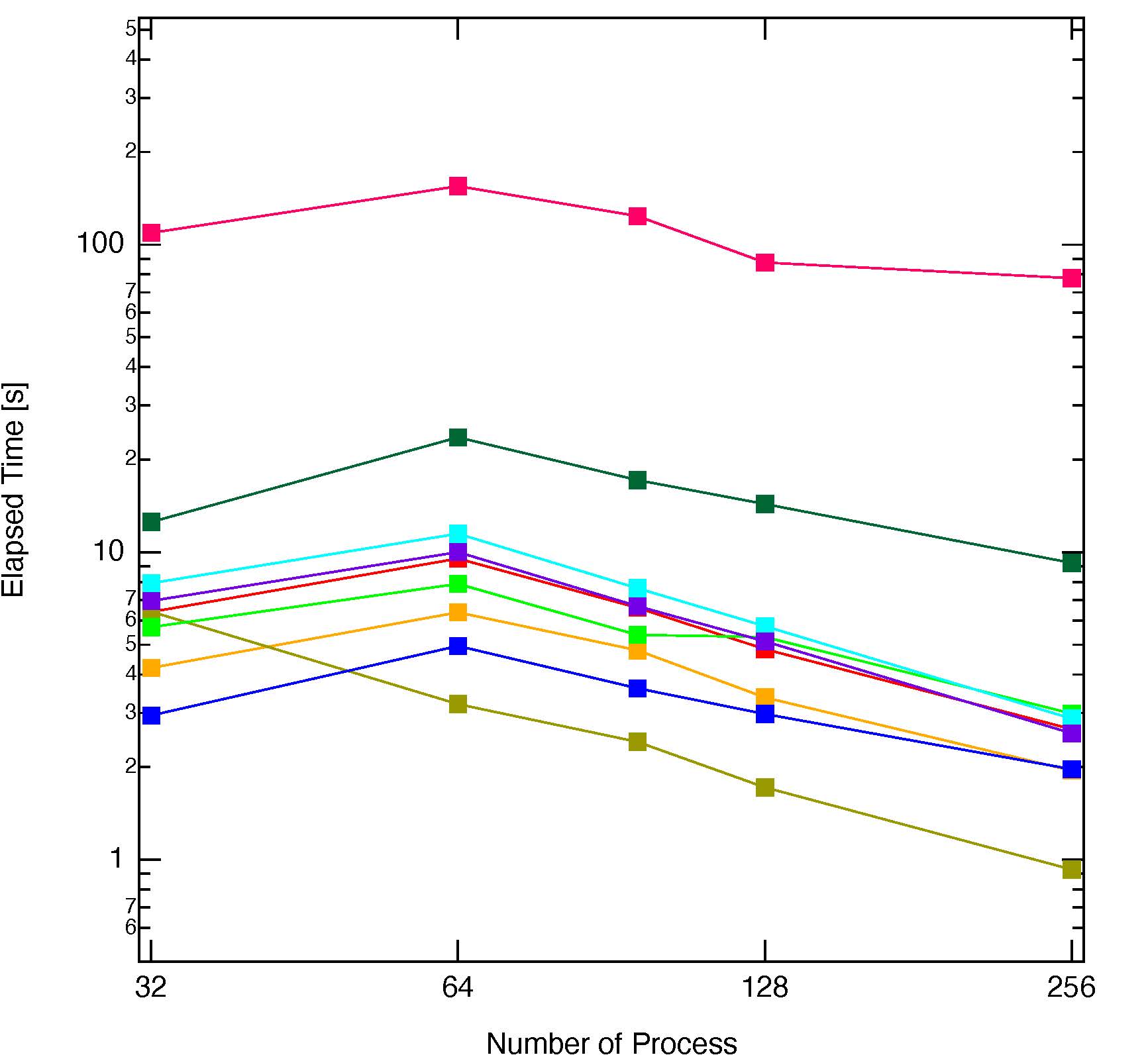
1ノードを超えると一旦性能が下がるが、 ノード数に応じて速度向上するケースが多いことを確認しました。
目次
【測定条件】
- PHITS 3.24
- 利用バイナリ
FOCUSスパコン共用領域:/home1/share/PHITS/phits324/bin/phits_LinIfort_MPI
(※FOCUSスパコンでPHITSを利用するには別途登録が必要です) - フラットMPI
【測定系】
- PHITS ベンチマーク 9モデル (
/home1/share/PHITS/phits324/sample/benchmark)- Bremsstrahlung-electron.inp
- ChargeParticleDDX-proton.inp
- DepthDose-electron.inp
- MassProduction.inp
- NeutronDDX-proton.inp
- NeutronFlux-proton.inp
- PhotonFlux-photon.inp
- Shielding-AGS.inp
- Shielding-RCNP.inp
【測定環境】
- 実施システム:Rシステム(32core/1ノード)
- 並列数依存 :32 ~ 256並列(1 ~ 8ノード)

